yahoo Press
Hydrogen atmospheres could keep exomoons habitable for billions of years
Images
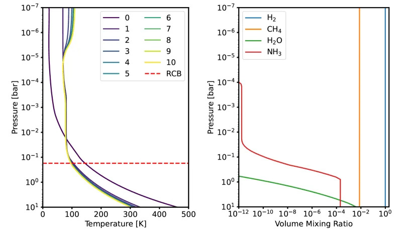
There is a category of planet that belongs to no star. It was thrown clear of its solar system early in the chaos of planetary formation, sent drifting into the galaxy’s cold interior with no sun to orbit and no light to receive. For a long time, the assumption was simple: without a star, no warmth; without warmth, no water; without water, no life. A new study from the Excellence Cluster ORIGINS at Ludwig Maximilian University of Munich and the Max Planck Institute for Extraterrestrial Physics is quietly dismantling that assumption. Researchers have found that moons orbiting these starless wanderers, called free-floating planets, could maintain liquid water oceans for as long as 4.3 billion years. That number is not coincidental. It is roughly the age of complex life on Earth. The lead author, LMU doctoral researcher David Dahlbüdding, did not set out to rewrite the geography of habitability. The study began as an engineering problem: what kind of atmosphere could actually hold heat on a moon that receives no sunlight at all? When a planet gets ejected from its home system, the departure reshapes everything around it, including the orbits of any moons that survive the chaos. Those orbits stretch into long ellipses, pulling the moon close to its planet and then swinging it far away in a repeating cycle. That motion matters because gravity is not passive. Each pass deforms the moon’s interior, compresses its rock and ice, and generates friction. That friction is heat. This process, tidal heating, is not theoretical. Jupiter’s innermost large moon, Io, is the most volcanically active body in the solar system because of it. Europa, also orbiting Jupiter, likely holds a subsurface ocean kept liquid by the same mechanism. The difference in the new study is context: the moons being modeled have no star contributing any energy at all. Tidal heating carries the entire burden. Heat alone is not enough. An atmosphere has to trap it. Earlier models of potentially habitable exomoons had focused on carbon dioxide as the insulating layer. Carbon dioxide works well as a greenhouse gas and had been shown to sustain potentially life-friendly surface temperatures for up to 1.6 billion years. The problem is what happens at the temperatures surrounding a free-floating planet. Carbon dioxide freezes. It condenses out of the atmosphere, the insulating effect collapses, and whatever warmth the tides generated escapes into space. Dahlbüdding’s team turned to hydrogen instead. Hydrogen has an unusual property under pressure. On its own, it is largely transparent to the kind of infrared radiation that carries heat away from a surface. But when hydrogen molecules collide at high densities, they briefly link into temporary pairs that can absorb that radiation and hold it in the atmosphere. The effect is called collision-induced absorption, and it becomes a surprisingly effective heat trap once pressure builds high enough. Crucially, hydrogen does not condense at the temperatures surrounding a free-floating planet. The atmosphere stays intact. The team used a coupled radiative transfer and chemistry code to model hydrogen-dominated atmospheres across a range of surface pressures and internal temperatures. At 100 bars of surface pressure, the modeling produced habitable conditions for a maximum of 4.3 billion years. At 10 bars, the figure reached 699 million years. Even at 1 bar, 20 percent of the modeled moon orbits produced some period of liquid water conditions. “To achieve a 750 kW short-term peak rating” is a quote from a different study entirely. The one that belongs here comes from Dahlbüdding, who noted that “the cradle of life does not necessarily require a sun,” adding that the team found “a clear connection between these distant moons and the early Earth, where high concentrations of hydrogen through asteroid impacts could have created the conditions for life.” The connection to early Earth runs deeper than atmospheric chemistry. Tidal forces do not simply heat a moon’s interior uniformly. They pulse with the rhythm of the orbit, compressing and releasing. On a moon with shallow oceans and exposed land, that rhythm could drive wet-dry cycles, periods where water evaporates and then condenses again in the same location. Those cycles are considered one of the more plausible mechanisms for building the long, complex molecules that precede biology. When water retreats, molecules concentrate. When it returns, reactions resume. RNA strands can grow longer through this process, and the team’s analysis of atmospheric chemistry suggests that ammonia, produced naturally in nitrogen-containing hydrogen atmospheres, could provide the alkaline conditions that make polymerization and molecular replication more likely. The atmosphere, in this picture, is not just a heat blanket. It is a chemical participant in the story of life’s first steps. Free-floating planets are not rare objects. Current estimates suggest the Milky Way may contain roughly as many of them as it contains stars, potentially hundreds of billions. An earlier study by LMU physicist Giulia Roccetti had established that moons can survive a planet’s ejection from its system, and that the elliptical orbits produced by the process actually enhance tidal heating over timescales spanning millions to billions of years. Of the 6,945 moon orbits that survived ejection in the team’s modeling, 43 percent reached habitable conditions at some point during their evolution under the 100-bar pressure scenario. Even under the lowest pressure modeled, one in five moons produced at least some window of liquid water. The researchers are careful about what their models can and cannot claim. The calculations assume dry atmospheric conditions rather than accounting for cloud formation, which could trap additional heat and extend habitable timescales further. Thick surface oceans could also speed up orbital circularization, shortening the window. Whether low-mass moons could hold onto dense hydrogen atmospheres over geological time remains an open question. Still, the researchers describe their habitable-zone timescales as lower limits, not upper bounds. For decades, the search for life beyond Earth has been organized around a single concept: the circumstellar habitable zone, the band of orbital distances around a star where liquid water can exist on a planet’s surface. The concept is useful, but it is also a constraint, one that excludes the vast majority of the galaxy’s mass and volume. This study joins a growing body of work that loosens that constraint. Subsurface oceans on icy moons within our own solar system already suggest that liquid water is possible far outside the classical habitable zone. What the new modeling adds is the possibility of surface oceans, driven by tides and insulated by hydrogen, persisting for geologically meaningful spans of time, with no stellar energy required at any point. Detecting such moons directly remains beyond current instruments. Future space telescopes designed for transit observations or gravitational microlensing surveys could eventually identify free-floating planets and, in some cases, the moons orbiting them. The theoretical framework now exists to know what to look for when those tools arrive. The galaxy’s dark stretches may not be as empty as they look. Research findings are available online in the journal Monthly Notices of the Royal Astronomical Society. The original story “Hydrogen atmospheres could keep exomoons habitable for billions of years” is published in The Brighter Side of News. TRAPPIST-1’s solar flares could reshape the search for habitable planets Oceans in the fire: How magma and hydrogen forge massive quantities of planetary water Extraterrestrial life may exist on many more worlds than previously thought Like these kind of feel good stories? Get The Brighter Side of News’ newsletter.
Comments
You must be logged in to comment.